
Muon and Pion Cooling Can Explain the Spectral Slope of IceCube Neutrinos from NGC 1068
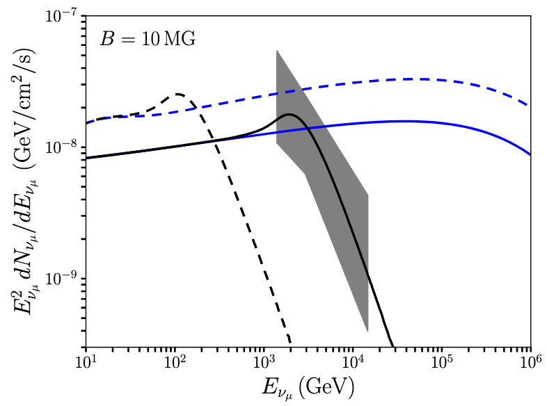
IceCube Observations have detected a bright 1-10 TeV neutrino flux from NGC 1068, while gamma-ray observations have not detected a corresponding TeV gamma-ray flux. These observations indicate that the neutrinos are produced in extreme dense regions where the gamma-rays are attenuated. The soft gamma-ray spectrum of the NGC 1068 neutrinos has previously been interpreted as evidence that the protons that produce the neutrino spectrum are only accelerated to energies between 100-1000 TeV, and the soft neutrino spectrum corresponds to the exponential cutoff of the parent proton population. We propose an alternative hypothesis, where extremely strong magnetic fields in the dense acceleration region cause the muons and pions that produced directly via hadronic interactions to cool before decaying into the resulting neutrino signal. Such a scenario would explain the soft neutrino spectrum even in models where NGC 1068 accelerates protons to energies above a PeV. Notably, this scenario produces a different neutrino flavor ratio than a spectral cutoff, a robust signature that may be detectable with future neutrino telescopes.
Read MoreResearch Topics
- Highlights and Overview
- Dark Matter(79)
- Galactic Center Excess(20)
- Celestial Body Searches(21)
- Gamma-Ray Searches(19)
- Multiwavelength(8)
- Cosmic-Rays Searches(12)
- Dark Matter Models(21)
- Axion Dark Matter(3)
- Astrophysics(77)
- TeV Halos(19)
- Gamma-Ray Astronomy(32)
- Cosmic-Ray Astronomy(14)
- Radio Astronomy(5)
- Neutrino Astronomy(6)
- Solar Physics(7)
- X-Ray Binaries(7)



